deutsch     english     français     Drucken

 

10.3 BACKTRACKING

 

 

EINFÜHRUNG

 

Bei der Entwicklung von Computergames wird es erst richtig interessant, wenn der Computer selbst zum intelligent handelnden Spielpartner wird. Dazu muss das Programm nicht nur die Spielregeln einhalten, sondern auch eine Gewinnstrategie verfolgen. Um eine Spielstrategie zu implementieren, wird das Spiel als Abfolge von Spielsituationen aufgefasst, die sich mit einer geeigneten Variablen s eindeutig identifizieren lassen. Man spricht auch von Spielzuständen und nennt darum s eine Zustandsvariable. Das Ziel einer Strategie ist es, von einem Anfangszustand zu einem Gewinnzustand zu gelangen, wobei das Spiel damit meist beendet ist.

Die Spielzustände lassen sich anschaulich als Knoten in einem Spielgrafen aufzeichnen. Bei jedem Zug gibt es einen Übergang von einem Knoten zu einem seiner Nachfolgeknoten. Die Spielregeln legen fest, welches ausgehend von einem bestimmten Spielzustand die möglichen Nachfolgeknoten oder Nachbarn (neighbours) diese Spielzustands sind. Den Übergang zeichnet man als eine gerichtete Verbindungslinie, auch Kante genannt, ein [mehr... Die Spieltheorie baut ganz wesentlich auf der Grafentheorie, einem wichtigen Spezialgebiet der Mathematik auf.].

Hier lernst du wichtige Verfahren kennen, die allgemeine Gültigkeit haben und dir helfen, Computergames zu schreiben, die sogar gegen sehr intelligente menschliche Spieler gewinnen können. Allerdings gibt es für die meisten Spiele neben diesem allgemeinen Verfahren noch viel Platz für deine eigenen Ideen, effizientere, einfachere und dem speziellen Spiel besser angepasste Spielstrategien zu schreiben, die unter Umständen auch bessere Gewinnchancen haben.

Auch viele politische, wirtschaftliche und soziale Systeme lassen sich als Spiel auffassen, sodass du deine hier erworbenen Kenntnisse auf eine weites praxisrelevantes Feld anwenden kannst.

PROGRAMMIERKONZEPTE: Spielzustand, Spielgraf, Baumsuche, Tiefensuche, Backtracking

 

 

LÖSUNGSSUCHE FÜR EIN SOLOSPIEL

 

Wie erwähnt fasst du die Spielzustände als Knoten (nodes) in einem Graphen auf, der von Zug zu Zug durchlaufen wird. Dazu musst du die Spielzustände durch bestimmte Kriterien, z.B. die Anordnung der Spielfiguren auf einem Spielbrett, eindeutig identifizieren. Die Spielregeln legen fest, welches die möglichen Nachfolgeknoten oder Nachbarn (neighbours) eines bestimmten Spielzustands sind. Diese werden mit dem Knoten durch Linien (Kanten) verbunden. Da es sich um Nachfolgeknoten handelt, haben die Kanten eine Richtung vom Knoten zu seinem Nachbarn. Manchmal heisst ein Knoten auch "Mutter" und sein Nachbarn "Töchter", wobei die Möglichkeit offen gelassen wird, ob es auch eine Kante von einer Tochter zurück zur Mutter gibt.

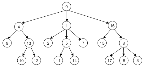
Du gehst hier zuerst von einem einfachen Spielgraphen für ein Spiel aus, das eine Person oder der Computer allein spielt. Das Einpersonenspiel oder Solospiel soll so aufgebaut sein, dass es keine Wege gibt, die wieder zurück führen. Damit ist sicher gestellt, dass du beim Durchlauf des Graphen nicht in einen Zyklus gerätst, der endlos durchlaufen wird. Ein solcher spezieller Graph heisst ein Baum. [mehr... Baum ist ein Graph ohne Zyklen] Die Knoten identifizierst du in irgend einer Reihenfolge mit Nummern zwischen 0 und 17. Der Graph hat folgende Struktur:

Der Baum soll als Ganzes in einer geeigneten Datenstruktur gespeichert werden. Dazu eignet sich eine Liste, in der die Nummern der Nachbarknoten als Teillisten enthalten sind, also beim Index 0 die Liste der Nachbarn von Knoten 0, beim Index 1 die Liste der Nachbarn von Knoten 1, usw. Enthält ein Knoten keine Nachbarn, so ist seine Nachbarliste leer [mehr... Einen solchen Knoten nennt man ein Blatt des Baums.].

Wie du leicht siehst, wird aus dem vorgegebenen Baum die Liste

neighbours = [[4, 1, 16], [2, 5, 7], [], [], [9, 13],[11, 14], [], [], [17, 6, 3], [], [], [], [], [10, 12], [], [], [15, 8], []]

Die Identifikation der Knoten durch eine Nummer ist ein Trick und ermöglicht dir, die Nachbarn eines Knoten mit einem Listenindex zu bestimmen. Der Algorithmus zum Auffinden des Weges von einem bestimmten Knoten zu einem in der Baumstruktur tiefer liegenden Knoten wird in der Funktion search(node) rekursiv durchgeführt. In Pseudocode formuliert lautet er:

  suche(Knoten):
      Falls Knoten == Zielknoten:
          print "Ziel erreicht"
          return
      Bestimme Liste der Nachbarknoten
      Durchlaufe diese Liste und führe aus:
          suche(Nachbarknoten)

Zusätzlich werden die "besuchten" Knoten hinten in der Liste visited eingetragen. Falls nicht vorher das Ziel erreicht wurde, wird nach dem Durchlauf aller Nachbarn der Knoten wieder aus visited entfernt, damit wieder der ursprüngliche Zustand hergestellt ist [mehr... visited hat also die Struktur eines Stacks (Last-In-First-Out) ]. Start- und Zielknotennummer können zu Programmbeginn eingegeben werden.

neighbours = [[4, 1, 16], [2, 5, 7], [], [], [9, 13], [11, 14], [], [], 
             [17, 6, 3], [], [], [], [], [10, 12], [], [], [15, 8], []] 

def search(node):
    visited.append(node) # put (push) to stack

    # Check for solution
    if node == targetNode:
        print "Target ", targetNode, "achieved. Path:", visited
        targetFound = True
        return
        
    for neighbour in neighbours[node]:
        search(neighbour) # recursive call
    visited.pop() # redraw (pop) from stack

startNode = -1
while startNode < 0 or startNode > 17:
   startNode = inputInt("Start node (0..17):")
targetNode = -1
while targetNode < 0 or targetNode > 17:
   targetNode = inputInt("Target node (0..17):")
visited = []
search(startNode)
Programmcode markieren (Ctrl+C kopieren, Ctrl+V einfügen)

 

 

MEMO

 

Für den Startknoten 0 und den Zielknoten 14 wird der richtige Weg [0, 1, 5, 14] ausgeschrieben. Fügst du beim Knoten 13 als Nachbar zusätzlich den Knoten 0 ein, so ergibt sich ein Zyklus und dies führt zu einer verhängnisvollen Situation, wo das Programm mit einem Laufzeitfehler abgebrochen wird, der sagt, dass die maximale Rekursionstiefe erreicht wurde.

 

 

DURCHLAUF EINES ALIENS

 

Es ist hübsch, den Algorithmus anschaulich zu verfolgen, indem du den Spielbaum grafisch aufzeichnest und schrittweise (mit einem Tastendruck) durchläufst. Dazu verwendest du am einfachsten ein GameGrid-Fenster, in welchem die Knoten bei gewissen Zellenkoordinaten (Locations) als Kreise sichtbar gemacht werden.

In der aktuellen Zelle siehst du einen halbtransparenten Alien, der dir zuwinkt.

Den Baum zeichnest du mit den Grafikmethoden von GGBackground. Auf den Kanten kannst du mit getMarkerPoint() statt einem Pfeil eine kleine Kreismarkierung anbringen, um die Richtung der Kante zu zeigen. Achte darauf, dass du den Bildschirm mit refresh() aktualisieren musst. In der Statusbar kannst du wichtige Informationen anzeigen.

from gamegrid import *

neighbours = [[4, 1, 16], [2, 5, 7], [], [], [9, 13], [11, 14], [], [], 
             [17, 6, 3], [], [], [], [], [10, 12], [], [], [15, 8], []] 

locations = [Location(6, 0), Location(6, 1), Location(4, 2), Location(13, 3),
             Location(1, 1), Location(6, 2), Location(12, 3), Location(8, 2),
             Location(12, 2), Location(0, 2), Location(1, 3), Location(5, 3),
             Location(3, 3), Location(2, 2), Location(7, 3), Location(10, 2), 
             Location(11, 1), Location(11, 3)]

def drawGraph():
    getBg().clear()
    for i in range(len(locations)):
        getBg().setPaintColor(Color.lightGray)
        getBg().fillCircle(toPoint(locations[i]), 6) 
        getBg().setPaintColor(Color.black)
        getBg().drawText(str(i), toPoint(locations[i]))
        for k in neighbours[i]:
            drawConnection(i, k)
    refresh()

def drawConnection(i, k):
    getBg().setPaintColor(Color.gray)
    startPoint = toPoint(locations[i])
    endPoint = toPoint(locations[k])
    getBg().drawLine(startPoint, endPoint) 
    getBg().fillCircle(getMarkerPoint(endPoint, startPoint, 10), 3)

def search(node):
    global targetFound
    if targetFound:
        return
    visited.append(node) # put (push) to stack
    alien.setLocation(locations[node])
    refresh()
    if node == targetNode:
        setStatusText("Target " + str(targetNode) + "achieved. Path: " 
                      + str(visited))
        targetFound = True
        return
    else:
        setStatusText("Current node " + str(node) + " .  Visited: " 
        + str(visited))
    getKeyCodeWait(True) # exit if GameGrid is disposed
  
    for neighbour in neighbours[node]:
        search(neighbour)  # Recursive call
    visited.pop()
    
makeGameGrid(14, 4, 50, Color.red, False)
setTitle("Tree-traversal (depth-first search). Press a key...")
addStatusBar(30)
show()
setBgColor(Color.white)
drawGraph()
 
startNode = -1
while startNode < 0 or startNode > 17:
   startNode = inputInt("Start node  (0..17):")  
targetNode = -1
while targetNode < 0 or targetNode > 17:
   targetNode = inputInt("Target node  (0..17):")

visited = []
targetFound = False
alien = Actor("sprites/alieng_trans.png")
addActor(alien, locations[startNode])

search(startNode)
setTitle("Tree-traversal (depth-first search). Target achieved")
Programmcode markieren (Ctrl+C kopieren, Ctrl+V einfügen)

 

 

MEMO

 

Wie du siehst, bewegt sich der Alien zu den Töchterknoten "in die Tiefe des Baums" und springt dann auf den letzten Mutterknoten zurück. Aus diesem Grund nennt man das Verfahren Tiefensuche mit Backtracking (depth-first search).

 

 

DER ALIEN AUF DEM WEG ZURÜCK

 

Willst du sichtbar machen, auf welchem Weg sich der Alien beim Rückzug bewegt, so musst du die Knotenfolge bei der Vorwärtsbewegung in einer Liste steps abspeichern. In jeder Rekursionstiefe gibt es wieder eine neue Liste und du speicherst diese in stepsList. Nach der Rückkehr musst du den letzten Eintrag mit stepList.pop() entfernen.

from gamegrid import *

neighbours = [[4, 1, 16], [2, 5, 7], [], [], [9, 13], [11, 14], [], [], 
             [17, 6, 3], [], [], [], [], [10, 12], [], [], [15, 8], []] 

locations = [Location(6, 0), Location(6, 1), Location(4, 2), Location(13, 3),
             Location(1, 1), Location(6, 2), Location(12, 3), Location(8, 2),
             Location(12, 2), Location(0, 2), Location(1, 3), Location(5, 3),
             Location(3, 3), Location(2, 2), Location(7, 3), Location(10, 2), 
             Location(11, 1), Location(11, 3)]

def drawGraph():
    getBg().clear()
    for i in range(len(locations)):
        getBg().setPaintColor(Color.lightGray)
        getBg().fillCircle(toPoint(locations[i]), 6) 
        getBg().setPaintColor(Color.black)
        getBg().drawText(str(i), toPoint(locations[i]))
        for k in neighbours[i]:
            drawConnection(i, k)
    refresh()

def drawConnection(i, k):
    getBg().setPaintColor(Color.gray)
    startPoint = toPoint(locations[i])
    endPoint = toPoint(locations[k])
    getBg().drawLine(startPoint, endPoint) 
    getBg().fillCircle(getMarkerPoint(endPoint, startPoint, 10), 3)

   

def search(node):
    global targetFound
    if targetFound:
        return
    visited.append(node) # put (push) to stack
    alien.setLocation(locations[node])
    refresh()
    if node == targetNode:
        setStatusText("Target " + str(targetNode) + "achieved. Path: " 
                      + str(visited))
        targetFound = True
        return
    else:
        setStatusText("Current nodes " + str(node) + " .  Visited: " 
                      + str(visited))
    getKeyCodeWait(True) # exit if GameGrid is disposed
  
    for neighbour in neighbours[node]:
        steps = [node]
        stepsList.append(steps)
        steps.append(neighbour)
        search(neighbour)  # Recursive call
        steps.reverse()
        if not targetFound:
            for loc in steps[1:]:
                setStatusText("Go back")
                alien.setLocation(locations[loc])
                refresh()
                getKeyCodeWait()
        stepsList.pop()
    visited.pop()
    
makeGameGrid(14, 4, 50, Color.red, False)
setTitle("Tree-traversal (depth-first search). Press a key...")
addStatusBar(30)
show()
setBgColor(Color.white)
drawGraph()
 
startNode = -1
while startNode < 0 or startNode > 17:
   startNode = inputInt("Start node  (0..17):")  
targetNode = -1
while targetNode < 0 or targetNode > 17:
   targetNode = inputInt("Target node (0..17):")

visited = []
stepsList = []
targetFound = False
alien = Actor("sprites/alieng_trans.png")
addActor(alien, locations[startNode])

search(startNode)
setTitle("Tree-traversal (depth-first search). Target  achieved")
Programmcode markieren (Ctrl+C kopieren, Ctrl+V einfügen)

 

 

MEMO

 

Der Alien bewegt sich nun tatsächlich im Baum wieder nach oben, wodurch es besonders deutlich wird, warum der Algorithmus Backtracking heisst. Das rekursive Backtracking spielt bei vielen Algorithmen eine wichtige Rolle und wird manchmal auch als "Schweizer Taschenmesser der Informatiker" bezeichnet.

 

 

STRATEGIE IM IRRGARTEN

 

Manchmal ist es schwierig, ja geradezu beängstigend, den Ausgang aus einem Irrgarten zu finden. Du kannst aber nun mit deinem Wissen über Backtracking ein Programm schreiben, dass den Ausgang mit Sicherheit findet. Es ist offensichtlich, dass du einen Irrgarten, der keine Zyklen aufweist, als Baum modellieren kannst und darum das Auffinden des Ausgang einer Baumsuche entspricht.

Du verwendest hier nur ein kleines Zufallslabyrinth mit 11x11 Zellen. Per Tastendruck führt der Alien einen Schritt aus, drückst du aber die Enter-Taste, so sucht er den Ausgang völlig autonom.

Das Labyrinth erzeugst du mit der Klasse Maze. Dabei übergibst du die gewünschte  Anzahl der  Zeilen und Spalten als ungerade Zahlen. Es entsteht jedesmal ein anderes zufälliges Labyrinth mit einem Eingang oben an der linken und einem Ausgang unten an der rechten Seite. Mit isWall(loc) kannst du testen, ob sich an der Location loc eine Wandzelle befindet.

Oft ist es nicht zweckmässig, den vollständigen Spielgraphen vor dem Spiel zu bestimmen. In vielen Fällen ist dies sogar unmöglich, da es derart viele Spielsituationen gibt, dass du sie in vernünftiger Zeit gar nicht bestimmen kannst und zudem der Speicherplatz des Programms nicht ausreichen würde. Es ist deswegen meist besser, erst während des Backtracking zu dem gerade aktuellen Knoten die Nachbarknoten zu bestimmen.

In deinem Programm ermittelst du die Nachbarknoten so, dass du von den 4 angrenzenden Zellen diejenigen auswählst, die nicht auf der Wand und nicht ausserhalb des Gitters liegen.

 

 

from gamegrid import *

def createMaze():
    global maze
    maze = GGMaze(11, 11)
    for x in range(11):
        for y in range(11):
            loc = Location(x, y)
            if maze.isWall(loc):
                getBg().fillCell(loc, Color(0, 50, 0))
            else:    
                getBg().fillCell(loc, Color(255, 228, 196))
    refresh()

def getNeighbours(node):
    neighbours = []
    for loc in node.getNeighbourLocations(0.5):
        if isInGrid(loc) and not maze.isWall(loc):
           neighbours.append(loc)
    return neighbours
    
def search(node):
    global targetFound, manual
    if targetFound:
        return
    visited.append(node)  # push
    alien.setLocation(node)
    refresh()
    delay(500)
    if manual:
        if getKeyCodeWait(True) == 10:  #Enter
            setTitle("Finding target...")
            manual = False

    # Check for termination
    if node == exitLocation:
        targetFound = True
        
    for neighbour in getNeighbours(node):
        if neighbour not in visited:
            backSteps = [node]
            backStepsList.append(backSteps)
            backSteps.append(neighbour)

            search(neighbour) # recursive call

            backSteps.reverse()
            if not targetFound:
                for loc in backSteps[1:]:
                    setTitle("Must go back...")
                    alien.setLocation(loc)
                    refresh()
                    delay(500)
                if manual:    
                    setTitle("Went back. Press key...")
                else:
                    setTitle("Went back. Find target...")
            backStepsList.pop()
    visited.pop() # pop

manual = True
targetFound = False
visited = []
backStepsList = []
makeGameGrid(11, 11, 40, False)
setTitle("Press a key. (<Enter> for automatic")
show()
createMaze()
startLocation = maze.getStartLocation()
exitLocation = maze.getExitLocation()
alien = Actor("sprites/alieng.png")
addActor(alien, startLocation)
search(startLocation)
setTitle("Target found")
Programmcode markieren (Ctrl+C kopieren, Ctrl+V einfügen)

 

 

MEMO

 

Es ist interessant, die Lösungsstrategie des Menschen mit der des Computers zu vergleichen. Ein menschlicher Spieler erkennt auf einem Blick die Gesamtsituation und leitet daraus eine Strategie ab, wie er möglichst schnell zum Ausgang gelangt. Er handelt dabei mit einer für Menschen typischen globalen Übersicht, die deinem Computerprogramm fehlt. Dieses erfasst die momentane Situation nur lokal, "erinnert" sich aber dafür sehr genau an die bereits durchlaufenen Wege und durchsucht sehr systematisch neue Wege zum Ziel.

Die Situation ändert sich aber zu Gunsten des Computers, wenn man dem menschlichen Menschen die globale Übersicht vorenthält, z.B. wenn er sich selbst im Innern des Labyrinths befindet und man nicht über die Wände sieht.

 

 

AUFGABEN

 

1.


Ein Binärbaum besitzt zu jedem Knoten zwei Nachbarknoten, nämlich einen linken und einen rechten. Wähle als Knotenbezeichner eine Liste mit zwei Zahlen [m, n], wo m die Tiefe im Baums und n die Breite bezeichnen.

Das Programm soll nach der Eingabe des Start- und  Zielknotens den Weg ausschreiben.

2.

Es ist erstaunlich, dass du mit der einfachen Rechten-Hand-Regel immer den Ausgang in einem Labyrinth findest, das sogar Zyklen aufweisen kann. Du wanderst dabei immer mit der rechten Hand an der Wand entlang und hältst dich an die folgende Regel:

  • Wenn rechts frei ist, dann gehst du nach rechts
  • Wenn du nicht nach rechts gehen kannst, hingegen geradeaus frei ist, dann gehe vorwärts
  • Wenn du weder nach rechts noch vorwärts gehen kannst, dann drehe dich nach links.

Implementiere diese Regel für ein GameGrid-Labyrinth mit einem rotierbaren Käfer-Actor lady = Actor(True, "sprites/ladybug.gif"). Anleitung: Setze den Käfer mit move() gemäss der Regel in die nächste Zelle. Wenn es sich um eine Wandzelle handelt, so mache den Schritt rückgängig.

Vergleiche diesen Lösungsalgorithmus mit der Lösung durch Backtracking.


 

   

ZUSATZSTOFF


 

DAS N-DAMEN PROBLEM

 

Es handelt sich um ein schachtechnisches Problem, das bereits Mitte des 19. Jahrhunderts diskutiert wurde. Es gilt dabei, auf einem Schachbrett mit nxn-Feldern n Damen so zu platzieren, dass sie sich gemäss den Schachregeln gegenseitig nicht schlagen können. (Die Schachregeln besagen, dass sich eine Dame horizontal und vertikal, sowie auf der Diagonalen bewegen kann.) Es gibt zwei Fragestellungen mit ganz unterschiedlichem Schwierigkeitsgrad: Zum einen möchte man eine Lösung angeben, zum anderen möchte man herausfinden, wieviele Lösungen es insgesamt gibt. Bereits 1874 bewies der Mathematiker Glaisher, dass es für das klassische Schachbrett mit n = 8 insgesamt 92 Lösungen gibt.

Das Damenproblem gilt als Musterbeispiel für das Backtracking. Dabei setzt man Zug um Zug eine Dame nach der anderen derart auf das Brett, dass die neue Dame nicht in Konflikt mit den bereits vorhandenen gerät. Geht man ziellos vor, so gibt es meist vor Ende der Aufstellung einen Moment, wo dies nicht mehr möglich ist. Die beim Backtracking angewendete Strategie besteht darin, dass man den letzten Zug zurücknimmt und es mit einer Alternative versucht. Gibt es auch jetzt keine Lösung, so muss man auch diesen Zug zurücknehmen, usw. Der Mensch verliert bei diesem Vorgehen leicht die Übersicht, welche Stellungen bereits geprüft wurden, der Computer hat dagegen damit kein Problem, weil er rein systematisch vorgeht.
 
Wie bei allen Aufgaben zum Backtracking kannst du die Spielzustände als Knoten in einem Spielgrafen auffassen. Die geeignete Wahl der Datenstruktur ist von entscheidender Bedeutung. Ein Vorgehen gemäss  des "Brute-Force"-Prinzips, wo man die n Damen auf alle möglichen Arten auf das Brett setzt und nachher diejenigen Fälle aussondiert, in denen sie sich nicht schlagen können, ist ungeeignet, denn es gibt für n = 8 die grosse Anzahl rund 442 Millionen Stellungen.

Viel besser ist es, wenn du von Anfang an nur Stellungen betrachtest, in denen sich die gesetzten Damen auf verschiedenen Zeilen und Spalten befinden. Für n = 8 kannst du den Spielzustand mit einer Liste mit 8 Zahlen, wo die erste Zahl den Spaltenindex der Dame auf der ersten Zeile, die zweite Zahl den Spaltenindex der Dame auf der zweiten Zeile, usw. angeben. Für Zeilen, welche noch keine gesetzte Damen haben, schreibst du als Index -1.

Wenn du Zeilen- und Spaltenindizes von 0 bis n-1 nimmst, so identifiziert beispielsweise node = [1, 4, -1, 3, 0, 6, -1, 7] nebenstehende Stellung.

 

Im Backtracking-Algorithmus bestimmst du die Nachbarknoten des aktuellen Knotens node mit der Funktion getNeighbours(node). Dabei gehst du von der eindimensionalen Datenstruktur auf Locations über, welche die x und y Koordinate der Felder verwendet. In der die Liste squares sammelst du die bereits besetzten Felder und in der Liste forbidden diejenigen, die auf Grund der Spielregeln nicht besetzt werden dürfen. (Dabei ist es praktisch, die Methode getDiagonalLocations() zu verwenden.) Schliesslich bildest du die Liste allowed der noch besetzbaren Felder. In den Nachbarknoten musst du nun die  -1 durch den Spaltenindex ersetzen, auf den die neue Dame gesetzt wird

In search() implementierst du den dir bereits bekannten Backtracking-Algorithmus. Sobald eine Lösung gefunden wurde, brichst du die weitere Suche ab (Rekursionsstopp).

from gamegrid import *

n = 8 # number of queens

def getNeighbours(node):
    squares = [] # list of occupied squares
    for i in range(n):
        if node[i] != -1:
           squares.append(Location(node[i], i))

    forbidden = [] # list of forbidden squares
    for location in squares:
        a = location.x 
        b = location.y
        for x in range(n):
            forbidden.append(Location(x, b))  # same row
        for y in range(n):
            forbidden.append(Location(a, y))  # same column
        for loc in getDiagonalLocations(location, True):   #diagonal up
            forbidden.append(loc)
        for loc in getDiagonalLocations(location, False):  #diagonal down
            forbidden.append(loc)

    allowed = [] # list of all allowed squares = all - forbidden
    for i in range(n):
        for k in range(n):
            loc = Location(i, k)
            if not loc in forbidden:
                allowed.append(loc)

    neighbourNodes = [] 
    for loc in allowed:
        neighbourNode = node[:]
        i = loc.y # row
        k = loc.x # col
        neighbourNode[i] = k 
        neighbourNodes.append(neighbourNode)
    return neighbourNodes        

def search(node):
    global found
    if found or isDisposed(): 
        return
    visited.append(node)  # node marked as visited

    # Check for solution
    if not -1 in node: 
        found = True
        drawNode(node)
        
    for s in getNeighbours(node):
        search(s)
    visited.pop()

def drawBoard():
    for i in range(n):
        for k in range(n):
            if (i + k) % 2 == 0:
                getBg().fillCell(Location(i, k), Color.white)

def drawNode(node):
    removeAllActors()
    for i in range(n):
        addActorNoRefresh(Actor("sprites/chesswhite_1.png"),Location(node[i],i))
    refresh()

makeGameGrid(n, n, 600 // n, False)
setBgColor(Color.darkGray)
drawBoard()
show()
setTitle("Searching. Please wait..." )

visited = []
found = False
startNode = [-1] * n  # all squares empty
search(startNode)
setTitle("Search complete. ")
Programmcode markieren (Ctrl+C kopieren, Ctrl+V einfügen)

 

 

MEMO

 

Je nach Leistung deines Rechners musst du einige Sekunden bis einige Minuten warten, bis eine Lösung gefunden wird. Dauert es dir zulange, so kannst du n = 6 setzen.

 

 

AUFGABEN

 

1.


Löse die gleiche Aufgabe ohne Verwendung der GameGrid-Bibliothek. Ersetze dabei Location durch Zellenlisten [i, k]. Du kannst die Lösung als node-Liste ausschreiben

2.

Verallgemeinere für n = 6 das oben angegebene Programm oder dein Programm aus Aufgabe 1 so, dass alle Lösungen gefunden werden. Beachte, dass ein Lösungsknoten wegen Symmetrien des Schachbretts mehrmals gefunden wird und du dies aber mit einer Liste der bereits erhaltenen Lösungen berücksichtigen kannst.